Articles | Volume 14, issue 2
https://doi.org/10.5194/gi-14-435-2025
https://doi.org/10.5194/gi-14-435-2025
Research article
 | 
08 Dec 2025
Research article |  | 08 Dec 2025

Parametric design for soil gas flux system: a low-cost solution for continuous monitoring

Alex Naoki Asato Kobayashi, Clément Roques, Daniel Hunkeler, Edward A. D. Mitchell, Robin Calisti, and Philip Brunner
Abstract

Monitoring soil gas fluxes is essential for understanding greenhouse gas dynamics within the critical zone. One commonly used method involves chamber-based methods which enables the quantification of soil gas fluxes on a specific point at the soil-atmosphere interface. However, point measurements often limit the representativeness of the field-scale processes due to the large spatio-temporal variability of climatic, hydrological, pedological, or ecological factors controlling its dynamics. Additionally, commercial chambers often prohibit deployment over sufficient representative area due to expensive operational and purchase costs.

Although low-cost and open-source designs have recently emerged in the literature, solutions enabling adaptability to field-site characteristics and design validation are still lacking. To address these challenges, we propose here a low-cost, parametric soil gas flux system that can be adapted to logistical and field constraints while allowing high-frequency measurement resolution. Along with open-design hardware, we developed software to automate data collection and processing. Laboratory tests, including static and transient experiments, assessed both the sensor and chamber design integration. Our results show strong agreement between the low-cost and commercial gas analyzers in static conditions with CO2 levels up to 500 ppm above background. During transient tests, we successfully replicated CO2 concentration increases using both systems, with comparable response time between eeflux and measurement from the sensors. Thus, we were able to address the data reliability from the low-cost setup, despite different parameters. Ultimately, our approach demonstrates that low-cost solutions can democratize these systems through a flexible framework suitable for various study sites.

Share
1 Introduction

Anthropogenic emissions and removal of greenhouse gases (GHG) in agricultural, forestry, and other land uses are driven by biological and physical processes, which can be determined by ecosystem components such as biomass, dead organic matter, soils, and livestock (IPCC2006, 2019, 2021). Most forms of GHG emission through the soils are via microorganisms, root respiration, and chemical processes. Several environmental factors influence the dynamic of CO2 fluxes, methanogenesis and nitrification, and denitrification, with the main ones being temperature, soil water content, nutrient availability, and pH (Oertel et al.2016; Smith et al.2018).

Several soil gas flux monitoring technologies exist, with two main approaches being widely used in environmental science: the Eddy Covariance method (EC) and the chamber-based method. The Eddy Covariance method uses a high-frequency anemometer and gas analyzer (around 20 Hz) to calculate the net flux for water vapor or CO2, CH4 or N2O (Aubinet et al.2012). From the turbulent winds, this direct method measures the covariance from the eddies and the trace gases it carries. Despite this method contributing largely to the understanding of the global change biology (Baldocchi2020; Baldocchi et al.2001), it is not a substitute for the use of chamber-based methods because it overlooks small-scale variability of trace gas fluxes (Eugster and Merbold2015; Baldocchi2014). Furthermore special care must be taken regarding flux footprints in highly heterogeneous landscapes (Chu et al.2021), despite continuous measurements from EC, significant uncertainties remain in measuring the net exchange of GHG (Eugster and Merbold2015).

Meanwhile, chamber-based methods are essential to understanding soil gas flux point variability that is affected by topography, vegetation, soil types, and hydrology. These chambers can be static, dynamic, manually, or semi-autonomously operated. While the manual chamber approach has been widely used because it only requires one set of chamber and gas analyzer, it is also not capable to performing measurements without an operator, thus it can be hard logistically to have high temporal resolutions with this approach. In contrast, semi-autonomous systems are particular interesting because it can achieve a high temporal resolution in less accessible places. However, the chamber's reduced scale compared to EC comes with several challenges regarding possible measurement artifacts. Maier et al. (2022) aggregated the experience of different groups to define some “best practices” when measuring soil gas flux. The disposition of chambers in a study site is critical and requires in depth understanding of the ecosystem and a clear definition of the goal of a project, e.g. the goal can be to test the effect of a field manipulation on an “average” representative microsite replicated over the field site. Depending on how it is performed, there is the potential of underrepresenting the spatial variability in ecosystems with hotspots or high flux events (Leon et al.2014; Jenerette et al.2008), especially when the cost of the commercially available chambers and gas analyzers is often prohibitively expensive for some project budgets to distribute several chambers throughout a study site properly.

Advancements in low-cost sensors have improved their affordability and accuracy, creating new opportunities to explore these alternatives for measuring soil gas flux. Some alternatives of manual respiration chambers (Zawilski and Bustillo2024; MacAgga et al.2024) or more autonomous systems (Gagnon et al.2016; Forbes et al.2023) have been developed to meet the demand for near-continuous monitoring. Their validation is often made using only the sensor's static accuracy. i.e measuring a given concentration of a standard gas, or duplicate the measurements in the field with a commercial sensor installed in parallel. However, in this case it remains challenging to compare the results due to bias in the sampling footprint. Additionally, it is well-established that chamber and system design can significantly reduce flux errors when appropriately tailored to the physical characteristics of a given soil (Venterea and Baker2008). We identified a lack of parametrized designs that allow the chambers to be produced to fit each study site's conditions and a lack of more reproducible laboratory methodologies that try to simulate soil gas flux signals regarding the chamber methods constraints.

Our main objective is to present a low-cost sensor system for soil gas flux, along with a parametrized chamber design that can be adapted to the specific conditions of any study site. Additionally, we propose a laboratory methodology that allows users to test their designs by implementing a transient experiment. This approach enables users to evaluate the dynamic response time of dCO2/dt in a controlled environment, ensuring the reliability and accuracy of soil gas flux systems before field deployment.

https://gi.copernicus.org/articles/14/435/2025/gi-14-435-2025-f01

Figure 1Schematic representation of low-cost CO2 soil gas flux system indicating the chamber components with sensor box PCB and fan components and main box with controller PCB.

Download

2 Material and Methods

This study aimed to increase the spatiotemporal representativeness of soil gas flux measurements, enabling the capture near-continuous soil respiration and net ecosystem exchange (NEE) at a given study site. To achieve this, we developed an open-design, low-cost parametric soil gas flux system and proposed a novel laboratory methodology for testing its performance.

2.1 Soil gas flux sensor system: Open-design

The designed soil gas flux sensor system consists of (i) a parametric soil gas flux chamber, (ii) integrated sensor components, and (iii) an integrated controller PCB (Fig. 1).

2.1.1 Parametric soil gas flux chamber

The main design philosophy for the soil gas flux chamber was the parametrization of the chamber's dimensions. Parametrizing the chamber dimensions is crucial for accurately calculating soil gas flux, as different volume-to-surface area ratios significantly influence the evolution of CO2 concentration within the chamber over time. Some additional implications from the change in chamber dimensions are the air mixing in the chamber when measuring, the optimal range of CO2 concentration inside the chamber, the minimal detectable flux (Sect. 2.1.3) that the system can calculate, and the area-perimeter ratio to increase the representativeness for a given measurement point.

Thus, two critical parameters can be adapted: chamber diameter and height. These variables directly affect the chamber's volume and influence the rate of gas accumulation during measurements. The diameter determines the area over which gas is sampled. The parametrization of the chamber is field-specific, starting with the expected range of soil gas flux and sensor characteristics, which are further constrained by vegetation and material availability (Fig. 2).

https://gi.copernicus.org/articles/14/435/2025/gi-14-435-2025-f02

Figure 2Parametrized chamber design based on chamber's constrains such as soil gas flux range, sensor characteristics, vegetation type and user's material availability.

Download

2.1.2 Electronics: sensors and microcontroller

The electronics are divided into two parts: (i) integrated sensor components and (ii) integrated controller PCB. The integrated sensor components is located in the soil gas flux chamber, where the measurement is happening, while the main section is located inside an encasing with the battery and any other main section from other chambers (Fig. 1). Each section is in its weather-protected box, and the microcontroller communicates with the sensor section via I2C protocol. This communication protocol is digital, and it uses a serial data line (SDA) and a serial clock line (SCL).

Since our objective is to have a system suitable for continuous measurements, the microcontroller has a sequence of events divided into four phases: (i) closing chamber, (ii) measurement, (iii) opening chamber, and (iv) standby. The closing chamber phase activates the motor driver to close the linear actuator and activates all sensors to start their measurement. After the chamber is closed, the measurement phase starts logging the data from all sensors and the fan begins to mix the air inside the chamber. All data from the measured sensors are logged using the micro-SD module, which also keeps the clock time using the real-time clock module (RTC). After the configured measurement period is finished, the opening chamber phase stops the measurements from the sensors and fan, and then the chamber is opened. Finally, the standby phase deactivates all sensors and waits for the user-defined waiting period to finish.

Table 1List of electronics components.

Download Print Version | Download XLSX

For debugging purposes, we configured the microcontroller to identify, log, and restart the system to its original settings in case of unexpected error or shutdown. This ensures that the user can identify the cause of an error and fix it for future operations.

All sensors and main components are found at the Table 1. In order to estimate soil gas flux, it is necessary the CO2 gas concentration, atmospheric pressure, temperature and humidity sensor. Among those sensors, the cost magnitude difference from the commercial sensor can reach a thousand fold higher compared with the low-cost sensors system. Also, the PCB design and schematics are found at the repository (Kobayashi2025).

2.1.3 Minimal detectable flux

After considering the chamber design and sensors, we can start integrating both, and the minimal detectable flux, which was proposed by Christiansen et al. (2015), provides what is the expected lower limit for the soil gas flux rates that can be detected. The minimal detectable flux (MDF) considers different characteristics, such as the analytical accuracy of the sensor, the chamber's volume and surface area, and the total chamber closure time. Nickerson (2016) further developed Eq. (1) for instruments that have a sampling time with a higher frequency (e.g. 1 Hz).

(1) MDF = A a t c ( t c p s ) V P S R T

where Aa [ppb] is the analytical accuracy of the instrument, tc [s] is the closure time of the chamber, V [m3] is the chamber volume, P [Pa] is the atmospheric pressure, S [m2] is the chamber surface area, R [m3 Pa K−1 mol−1] is the ideal gas constant, T [K] is the ambient temperature, and ps [s] is the sampling periodicity .

2.2 Laboratory experiment

We performed two laboratory experiments: the first was designed to check the sensor accuracy by imposing a known CO2 concentration, further mentioned as a static CO2 concentration experiment (Sect. 2.2.1). The second, aiming at evaluating the sensor's performance in measuring CO2 changes over time in the chamber, which ultimately is used to estimate the corresponding flux, is further referred to as transient CO2 experiment (Sect. 2.2.2).

We used bags containing standard CO2 concentrations for both the static and advection-driven simulated soil gas flux experiments. To prepare the standard bags, we used a 5 L Tedlar sampling bag with dual stainless steel fittings, where we mixed a given volume of a 99.9 % concentration of CO2 gas with atmospheric air.

2.2.1 Static experiment

The static CO2 concentration test checks the individual sensor's accuracy of the low-cost sensor against the commercial gas analyzer (LICOR LI-7810) without considering the overall chamber. To ensure both sensors are exposed to the same concentration of gases, the standard CO2 gas was injected directly through the LI-7810 sensor and then routed to the inlet of the low-cost sensor (K30). In addition, we ensured that the internal clock of both systems was synchronized. Using this approach, we logged the data continuously while the standard CO2 bag was connected to the inlet of the LI-7810 sensor. Thus, we logged 1502 points from the low-cost sensor and LI-7810 during 12 different standard CO2 gas bag concentration, ranging from 200 until 1100 ppm above the CO2 background concentration.

https://gi.copernicus.org/articles/14/435/2025/gi-14-435-2025-f03

Figure 3Schematic laboratory experiment using the transient CO2 experiment, from background atmospheric CO2 concentration to the increase of concentration after the chamber is closed then the opening of chamber back to the atmosphere and an additional step for chamber leak for the low-cost system. The black line represents our reference (8200-01S and LI-7810) and the red line represents our low-cost system.

Download

2.2.2 Transient CO2 experiment: dynamic response on the system

The transient CO2 experiment aim to better understand the systems' temporal CO2 concentration evolution inside an accumulation chamber given a known CO2 standard gas concentration. The first step for this experiment was to measure the concentration of the imposed CO2 gas bag standard. This was done by measuring with the LI-7810 the gas bag concentration. For this experiment, we targeted a concentration of 900 ppm ±10 %, for which we had a total of 8 CO2 gas bags. The second step consists of measuring the CO2 accumulation in the commercial chamber (LICOR 8200-01S) with the gas analyzer (LI-7810) and our design systems. This is done by closing the respective chambers and measuring the evolution of CO2 concentration until the gas bag is empty (Fig. 3). Finally, we open the low-cost parametric chamber to return to the atmospheric background CO2 concentration.

The evaluation procedure for both systems' transient CO2 experiment utilizes a numerical model estimation and compares them with the measured data. The assumptions for this model are constant pressure, temperature, and humidity throughout the experiment. With constant pressure, a leakage term from both systems is expected and is considered for our transient CO2 experiment. So, the influx equals the outflux (leakage term), or the total volume is conserved during the experiment period. From this transient experiment, we modeled the chamber CO2 mass, thus following the Eq. (2).

(2) Chamber Mass CO 2 ( t ) = Chamber Mass CO 2 ( t = 0 ) + m ˙ CO 2 - o ˙ CO 2

which, m˙CO2 is the standard CO2 mass gas input to the chamber and o˙CO2 is the leakage of CO2 from the chamber and Chamber MassCO2 is the CO2 mass in the chamber.

Through modeling, we can compare the expected CO2 curve evolution through time with the measured data, but to compare the system between each other, it is necessary to perform an adimensional analysis. There are differences between our reference (LI-7810 and 8200-01S) and low-cost sensor systems regarding the setup, such as chamber volume, initial CO2 concentration, standard CO2 concentration gas bag, and injection flux rate. And to compare both system that utilized different setups, we normalized the time (Eq. 3) and the concentration (Eq. 4).

(3) t ^ = t V chamber Q

where, t^ is the dimensionless time, t is time, Vchamber is the chamber volume and Q is the standard CO2 gas bag of CO2 injection flux rate.

(4) C ^ = C - C 0 C inj - C 0

where, C^ is the dimensionless CO2 concentration, C is the CO2 concentration at a given time, C0 is the initial CO2 concentration before the injection start and Cinj is the CO2 concentration from the standard gas bag.

2.3 Field experiment

To evaluate the reliability and performance of our newly developed system under real-world conditions, we deployed it in the field, focusing on its ability to capture soil gas flux dynamics accurately and consistently in a natural setting. The experimental site is located on the elevated Swiss Plateau in the city of Kerzers, in the canton of Fribourg, Switzerland. The region's climate is temperate, with annual precipitation between 800 and 1400 mm and an annual temperature of 8 to 12 °C and the site's elevation is approximately 432 m a.s.l. and this regions is considered the most productive region in Switzerland for vegetable production. However, the agriculture situation in this region has become critical because of its highly organic soil type characteristics (peaty soil). And with the drainage requirements for agriculture, the carbon storage has been depleted by the exposition from the drainage areas, causing subsidence and significant emissions of CO2 (Egli et al.2021; Roeoesli and Egli2024). Thus, to promote sustainable management of these cultivated peaty soils, monitoring those emissions is required to evaluate the efficacy of the management of these soils (Ferré et al.2019).

There are two main calculation models used for estimate soil gas flux is the linear and the non-linear model. We calculated the CO2 soil gas flux using the H-M model (Pedersen et al.2010), which uses an exponential equation (Eq. 5) to fit the CO2 concentration data and it is considered more accurate than the linear model (Baneschi et al.2023). After fitting the measured data to the equation, we can extract the fitted variables and then calculate the dCdt (Eq. 6).

(5) C c ( t ) = C x + ( C 0 - C x ) e - α ( t - t 0 )

where C0 [ppm] is the initial concentration of CO2 before the chamber was closed, Cx [ppm] is the soil gas concentration of CO2 in the soil, α [m s−1] is the CO2 soil gas conductivity, Cc [ppm] in the function of time is the chamber concentration, and t [s] is time since the chamber is closed.

(6) d C d t = α ( C x - C 0 ) e - α ( t - t 0 )

And finally, the soil gas flux can be calculated using the following Eq. (7).

(7) F C O 2 = 10 V P 0 ( 1 - W 0 / 1000 ) d C d t R A ( T 0 + 273.15 )

V [cm−3] is the chamber volume, A [cm−2] is the area of the corresponding chamber ring, P0 [kPa] is the initial pressure of the chamber, W0 [mmol mol−1] is the water humidity vapor, and T0 [°C] is the initial chamber temperature.

Past field campaigns gave us some insights about the minimal soil respiration for this study site of around 2000 mmols m−2 s−1, our low-cost soil gas flux sensor system setup consists of continuous measurements of 200 s, with a total of 4 repetitions and a standby time of 25 min. The goal was to assess the in-situ capacity of continuous measurement in the field environment while measuring the diurnal cycle of the CO2 soil respiration.

3 Results

3.1 Parametric chamber design

The open-source parametric chamber design, integrated sensor PCB, integrated controller PCB, and software can be found in the public repository (Kobayashi2025). In this repository, we split into chamber parametric design for the assembly and software for control and operation of the whole system. The parametric design starts when the user has to define an initial expected soil gas flux CO2 range to optimize the chamber's dimension for this minimal soil gas flux, and to calculate the expected range of concentration of CO2 for any given measurement time. Additionally, we take the sensor's manufacturer accuracy, the list of possible materials from the user, the vegetation's expected height if measuring the net ecosystem exchange (NEE), and the user's measuring time to consider the minimal dimensions for the chamber. This information from the user is then utilized to define a list of options that best fit the user's study site based on the minimal detectable flux, try to maximize the base area-perimeter ratio (Maier et al.2022) while trying to maintain the chamber's concentration optimal range of CO2 concentration.

For our choice in the design for our specific study site, the low-cost CO2 sensor has an accuracy of 30 ppm, and we initially defined a measurement time of 150 s which a chamber height of 50 cm would get us a minimal detectable flux of 350 nmols m−2 s−1 (Fig. 4). Inversely, the maximum expected soil gas flux constrains the chamber height so that the CO2 gas concentration inside the chamber stays less than Δ 500 ppm above the background concentration, thus we choose a height of 20 cm with the chamber diameter of 20 cm also to fit material availability constraints. With this diameter, the ratio area-perimeter is 5 cm, which is considered acceptable regarding the relative disturbance from the soil ring edge along the base (Healy et al.1996; Maier et al.2022). Also, this reduction in chamber height implied that we improved the minimal detectable flux to around 120 nmols m−2 s−1 if we later decide to switch from soil respiration to NEE, or we also could reduce the measuring time and maintain a higher minimal detectable flux (Fig. 4).

https://gi.copernicus.org/articles/14/435/2025/gi-14-435-2025-f04

Figure 4Matrix of minimum detectable flux given chamber height and measurement time, where we change our chamber design and measurement time to adjust the minimum detectable flux.

Download

3.2 Laboratory analysis: static test

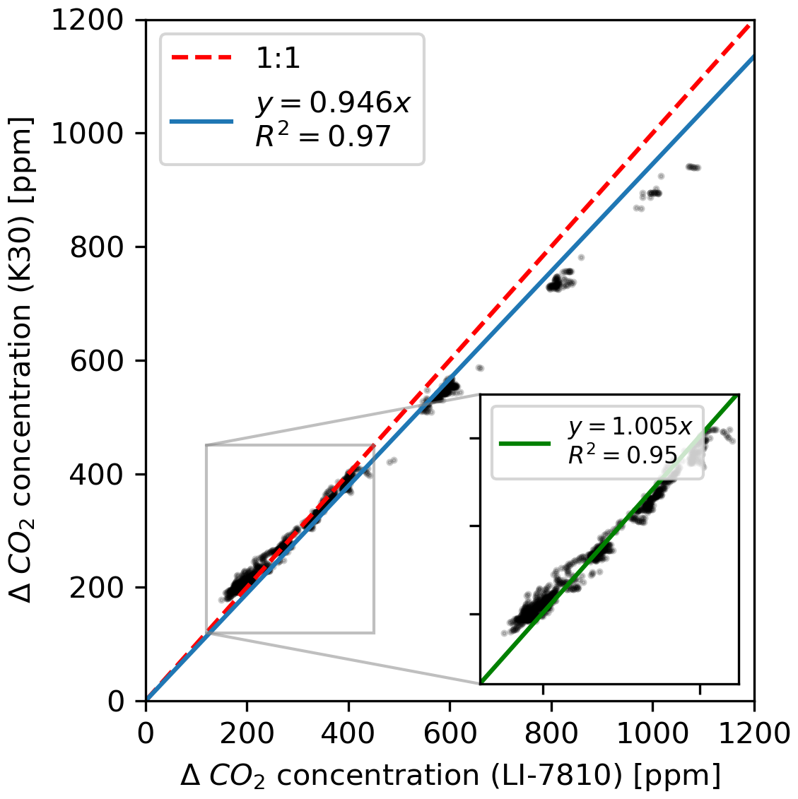
For the static CO2 concentration test, we considered the relative difference between the background CO2 concentration recorded by each sensor and the concentration of CO2 measured from the standard CO2 bag, labeled ΔCO2. Our approach showed a good linear correlation between the two sensors (y=1.005x) for ΔCO2<600 ppm measured with the LI-7810 (Fig. 5). For ΔCO2>600 ppm, the regression slightly changed with lower values measured by our low-cost sensor with respect to the commercial LI-7810. Considering this higher concentration range, the linear regression tended to y=0.946x (Fig. 5). Thus, the low-cost sensor underestimates in comparison to the LI-7810 when introducing a standard CO2 gas concentration of >600 ppm above the background concentration.

https://gi.copernicus.org/articles/14/435/2025/gi-14-435-2025-f05

Figure 5Static CO2 concentration comparison between LI-7810 and low-cost sensor K30 relative to their background concentration, where it shows the linear relationship for the whole range (y=0.946x) and zoom in to the range between 150 and 500 ppm (y=1.005x).

Download

3.3 Laboratory analysis: transient CO2 experiment

Our results from the laboratory analysis based on the transient CO2 experiment show how their absolute concentrations differ from the reference to the low-cost approach. The ΔCO2 concentration for the reference ranges from 0 to 90 ppm, and for the low-cost approach, the range is from 0 to 190 ppm; in addition, the measuring time difference between the reference is 120 s, while the low-cost sensor is about 180 s.

https://gi.copernicus.org/articles/14/435/2025/gi-14-435-2025-f06

Figure 6Dimensionless concentration plotted against dimensionless time, showing residuals between the measured concentration and the expected modeled curve. Panel (a) displays results from the LI-7810 sensor, while panel (b) shows results from the low-cost sensor system.

Download

To allow us to compare two different setups (chamber volume and initial conditions), we utilized the adimensional concentration and time to normalize the inputs from each system. The normalization can be observed in Fig. 6, which shows that the measured data fits closest with the modeled curve for both the reference and low-cost system. By checking their respective residuals, the measured data maintained stability over the entire measurement period after a slight increase at the beginning. These results show that both systems were able to mix the air inside the chamber properly when measuring the CO2 concentration and confirm the air tightness of the system that injects the standard gas.

The initial offset on the residuals (Fig. 6) from both reference and low-cost systems indicated a response lag, which comes from the initial injection of the standard CO2 gas and mixing time in the chamber. This offset from the reference was lower when compared to the low-cost sensor, indicating that the lag from the low-cost system was higher than our reference. Converting back to time, the lag from the commercial system was about 5 s, while the low-cost system was about 20 s.

https://gi.copernicus.org/articles/14/435/2025/gi-14-435-2025-f07

Figure 7Field measurement of the low-cost soil gas flux system for two day period where it shows (a) initial concentration of CO2 at each measurement, (b) the soil gas flux of CO2 with median of the moving window of 60 min, (c) the top soil water content and (d) the top soil temperature.

Download

3.4 Field deployment

Our field experiment was performed from 12 to 14 June 2024, and a total of 314 CO2 soil gas flux measurements were made during this period. This brief snapshot of CO2 concentration showed the diurnal cycle (Fig. 7a). The initial concentration of CO2 changed from a range of 430 ppm during the daytime to 600 to 800 ppm during the nighttime. For the CO2 soil gas flux (Fig. 7b), values of around 4.5µ mol m−2 s−1 was measured with a peak of around 16:00 for both days, but during the nighttime, the value fluctuated around 2µmol m−2 s−1 and with a variance higher (0.14) than the daytime (0.02). During this experiment there was no precipitation, thus we can see the slight decrease in top soil water content (Fig. 7), where during the night the soil water content decrease is lower than compared during the day. Also, we can see the soil temperature diurnal cycle, which ranged from 15 °C during the night to around 18 °C at around 16:00.

4 Discussion

4.1 Overall challenges and opportunities in soil gas flux measurement

Measuring soil gas flux is inherently challenging due to the complex interactions between the soil, vegetation, and atmosphere. The combination of accumulation chambers and Eddy Covariance systems has proven valuable applications (Basri et al.2024; Alice Courtois et al.2019), but the high costs of commercial dynamic chambers limit their scalability and accessibility for spatiotemporal variability analysis. In this context, low-cost sensor systems (Gagnon et al.2016; Forbes et al.2023; MacAgga et al.2024) offer a promising alternative or complement, providing an affordable and scalable solution for soil gas flux monitoring.

Custom chambers have the flexibility to be parametrized to adapt their design to different study sites and expected flux conditions beyond the specific conditions for which they were originally developed. However, their development represent an investment and various expertise are required for their initial design and testing. In addition, while custom chambers and low-cost sensors enable an increase in the number of measurement points, they also transfer the burden of ensuring data quality to the user, who must validate the performance of these newly designed low-cost systems.

These challenges shaped our study's objective: to develop a parametric and open-source design adaptable to diverse study site conditions, maintain the low-cost system approach, and propose a transient CO2 experiment method to evaluate the efficiency of custom chambers and ensure seamless integration between chamber and sensor. Such integrated solution from the chamber and sensor implies the necessity of having a more holistic approach that is capable of evaluating the performance of an entire system instead of a single component.

4.2 Performance validation: laboratory static and transient experiment and field application

For the parametric chamber design and overall low-cost soil gas flux system, we built up on some general guidelines based on experiences from several study sites (Maier et al.2022). Previous studies developed low-cost solutions for semi-continuous measurements of soil respiration (Gagnon et al.2016; Forbes et al.2023).

In the proposed solution, we allow the users to adapt the chamber's dimensions to fit the study site requirements. Of course, the choice of the material of the chamber is flexible. We used here a high light and UV transmission materials to monitor Net Ecosystem Exchange (NEE). Of course, the material needs to be adapted if one is aiming at monitoring only soil respiration, by using opaque materials like PVC. Additionally, in our repository, we made available a open-source software responsible for controlling the systems procedures and the design of all components necessary to integrate the chamber to the sensor. This includes the PCB designs that can easily be modified and fabricated to fit other sensors.

After the chamber design was set, we focused on the sensor capability to measure the evolution of CO2 concentration inside the chamber. Initially, the static test we performed between our proposed choice of low-cost sensor and reference showed a linear correlation in the concentration range 400–800 ppm, which agrees with other studies that utilized the same sensor (K30) (MacAgga et al.2024; Gagnon et al.2016), but we found that this relationship deteriorates around 1000 ppm, at which the low-cost sensor ended up underestimating. For the application to our field site, with a two-day snapshot of measurements, the observed range of CO2 concentrations remained below 1000 ppm, so this limitation did not pose an issue in our case. However, to address scenarios where higher CO2 concentrations might occur, one potential solution would be to increase the chamber height using the parametric design solution. This adjustment would reduce the final CO2 concentration by allowing for a larger chamber volume, thereby mitigating potential sensor limitations at higher concentrations. Another approach is to reduce the total measurement time at night, which is the simplest option, provided that the measurement duration remains sufficient to ensure an accurate flux calculation.

While most studies evaluated the sensor's static CO2 accuracy (MacAgga et al.2024; Gagnon et al.2016; Zawilski and Bustillo2024), our experiment allowed us to also analyze the integration of the sensor within the chamber. It evaluated the efficiency of the air mixing and the response lags between the input and measurement from both systems, which could only be compared through dimensional analysis. With our chamber dimensions and fan control settings, we found the chamber design and low-cost sensor to be very satisfactory with similar results compare to our commercial LICOR reference. Although the low-cost sensor has a slower response time than the commercial sensor, both lag times can be used as inputs for soil gas flux calculation as the unmixed phase (deadband), allowing initial data to be filtered out before calculating flux.

In the field, it is expected that the soil gas flux happens mostly via diffusion instead of advection as imposed in the experiment. But for our case, this difference in mechanisms did not influence the results of our sensor/design validation. Bringing our low-cost system to the field for 2 d monitoring showed a snapshot its usage in real case applications with a chamber height of 20 cm and a chamber diameter of 20 cm. We could first monitor the variations of ambient CO2 concentrations by considering the first value reported by the sensor after chamber closing. This minimum ambient values of CO2 concentration during the daytime had similar values as the ones reported by the Atmosphere Thematic Centre (Jungfraujoch) (Emmenegger et al.2025). We also observed an increase in the initial CO2 concentration during the nighttime. This increase was likely to be linked with the atmosphere's boundary layer's higher stability when compared with daytime, which results in its stratification near the surface. The boundary layer's stratification generally has a higher concentration of CO2 near the surface, which then reduces the diffusion rate through the soil to the atmosphere, thus reducing the soil respiration during the nighttime (Lai et al.2012; Schneider et al.2009).

This stratification has possible consequences for the low-cost sensor as it imposes an initial concentration higher during the nighttime compared to the daytime (Fig. 7a). This implies that higher concentrations are expected during accumulation during the night, potentially leading toward ranges with higher uncertainties (Fig. 5). To prevent these uncertainties, the operators need to consider these values during the design of the chamber and measuring times. Görres et al. (2016) suggested shorter chamber heights (<20 cm) and chamber systems that avoid abrupt movements to maintain the stable atmospheric layer. To account for these disturbances for the low-cost system, one could reduce or completely turn off the fan inside the chamber during the nighttime to avoid those artifacts while increasing the measurement period to compensate for this decrease in air mixing rate, and we could also slow down the closing speed for our chamber to avoid breaking the atmospheric stability.

4.3 Final considerations

Finally, this study did not focus on the flux calculation schema for calculating the soil gas flux after the measurement of CO2. Instead we only utilized a non-linear method (H-M method) for its calculation. Other methods, like linear fitting, are simple to apply and can be useful considering that is more precise but less accurate (Venterea et al.2020). And some progress has been made with ideas of balancing the bias and uncertainty from linear and non-linear methods (Hüppi et al.2018), along with an understanding of the importance of identifying the optimal time intervals for these flux estimative (Baneschi et al.2023; Johannesson et al.2024). Still, the system design is closely linked with the performance of any particular flux calculation schema. While characterization of analytical uncertainty for soil gas flux (Cowan et al.2025) is a step forward for determining the theoretical limits of the precision of flux measurements for different chamber systems, it uses the frequentist approach combined with the linear method. Thus, a flux calculation schema that quantifies uncertainty for non-linear models which accounts for sensor's characteristics are still needed to be investigated to better understand low-cost system's limitations.

5 Conclusions

The development and implementation of low-cost soil gas flux systems present significant opportunities for advancing the monitoring of hydrological and ecological processes. By enabling high spatiotemporal measurements, these systems open new avenues for disentangling the coupled processes that drive soil gas fluxes, such as the impacts of extreme rainfall events, sudden changes in water table height, and soil management practices like mechanization. It also facilitates the integration into a multi-modal spatial monitoring system, such as with eddy covariance systems that could improve the knowledge of complex settings such as peatlands renaturation goals.

Our approach leverages the flexibility of low-cost sensors and proposes solutions for open design, parametrization and software for operating the system. In addition, we proposed a transient experiment to evaluate and compare the performance of soil gas flux systems in controlled conditions. This methodology enhances quality assurance and helps validate the integration of sensors within the chamber design, offering a comprehensive workflow for system optimization. The proposed design has the potential to significantly expand the monitoring of soil gas fluxes. It brings perspectives for broad applicability that can meet the needs of various applications and field conditions for improved understanding of the dynamics of soil-atmosphere interactions and their responses to environmental changes.

Code availability

The code and the parametric chamber design are available in the Github (https://github.com/alexnaoki/SoilGasFlux) and Zenodo: https://doi.org/10.5281/zenodo.17341515 (Kobayashi2025).

Data availability

All data can be provided by the corresponding author upon request.

Author contributions

AK: conceptualization, instrumentation design, code programming, laboratory experiment, formal analysis, methodology, validation, writing-original draft and editing. CR: conceptualization, formal analysis, methodology, validation, writing-original draft and editing. DK: formal analysis, methodology, writing-review, editing and funding. PB: formal analysis, methodology, conceptualization, writing-review, editing and funding. EM: formal analysis, validation, writing-review and editing. RC: validation, writing-review and editing.

Competing interests

The contact author has declared that none of the authors has any competing interests.

Disclaimer

Publisher’s note: Copernicus Publications remains neutral with regard to jurisdictional claims made in the text, published maps, institutional affiliations, or any other geographical representation in this paper. While Copernicus Publications makes every effort to include appropriate place names, the final responsibility lies with the authors. Views expressed in the text are those of the authors and do not necessarily reflect the views of the publisher.

Acknowledgements

We would like to thank Ana Tanaka, Saeed Mhanna, Francesco Scattolini, Laurent Marguet and Roberto Costa for their valuable comments and advice.

Review statement

This paper was edited by Anette Eltner and reviewed by Janne Korhonen and one anonymous referee.

References

Courtois, E. A., Stahl, C., Burban, B., Van den Berge, J., Berveiller, D., Bréchet, L., Soong, J. L., Arriga, N., Peñuelas, J., and Janssens, I. A.: Automatic high-frequency measurements of full soil greenhouse gas fluxes in a tropical forest, Biogeosciences, 16, 785–796, https://doi.org/10.5194/bg-16-785-2019, 2019. a

Aubinet, M., Vesala, T., and Papale, D.: Eddy Covariance, Springer Netherlands, Dordrecht, 1. edn., ISBN 978-94-007-2350-4, https://doi.org/10.1007/978-94-007-2351-1, 2012. a

Baldocchi, D.: Measuring fluxes of trace gases and energy between ecosystems and the atmosphere – the state and future of the eddy covariance method, Global Change Biology, 20, 3600–3609, https://doi.org/10.1111/gcb.12649, 2014. a

Baldocchi, D., Falge, E., Gu, L., Olson, R., Hollinger, D., Running, S., Anthoni, P., Bernhofer, C., Davis, K., Evans, R., Fuentes, J., Goldstein, A., Katul, G., Law, J. B., Lee, X., Malhi, Y., Meyers, T., Munger, W., Oechel, W., Paw, K. T., Pilegaard, K., Schmid, H. P., Valentini, R., Verma, S., Vesala, T., Wilson, K., Wofsy, S., and Hall, H.: FLUXNET: A New Tool to Study the Temporal and Spatial Variability of Ecosystem-Scale Carbon Dioxide, Water Vapor, and Energy Flux Densities, Bulletin of the American Meteorological Society, 82, 2415–2434, https://doi.org/10.1175/1520-0477(2001)082<2415:FANTTS>2.3.CO;2, 2001. a

Baldocchi, D. D.: How eddy covariance flux measurements have contributed to our understanding of Global Change Biology, Global Change Biology, 26, 242–260, https://doi.org/10.1111/gcb.14807, 2020. a

Baneschi, I., Raco, B., Magnani, M., Giamberini, M., Lelli, M., Mosca, P., Provenzale, A., Coppo, L., and Guidi, M.: Non-steady-state closed dynamic chamber to measure soil CO2 respiration: A protocol to reduce uncertainty, Frontiers in Environmental Science, 10, https://doi.org/10.3389/fenvs.2022.1048948, 2023. a, b

Basri, M. H. A., McCalmont, J., Kho, L. K., Hartley, I. P., Teh, Y. A., Rumpang, E., Signori-Müller, C., and Hill, T.: Reducing bias on soil surface CO2 flux emission measurements: Case study on a mature oil palm (Elaeis guineensis) plantation on tropical peatland in Southeast Asia, Agricultural and Forest Meteorology, 350, https://doi.org/10.1016/j.agrformet.2024.110002, 2024. a

Christiansen, J. R., Outhwaite, J., and Smukler, S. M.: Comparison of CO2, CH4 and N2O soil-atmosphere exchange measured in static chambers with cavity ring-down spectroscopy and gas chromatography, Agricultural and Forest Meteorology, 211–212, 48–57, https://doi.org/10.1016/j.agrformet.2015.06.004, 2015. a

Chu, H., Luo, X., Ouyang, Z., Chan, W. S., Dengel, S., Biraud, S. C., Torn, M. S., Metzger, S., Kumar, J., Arain, M. A., Arkebauer, T. J., Baldocchi, D., Bernacchi, C., Billesbach, D., Black, T. A., Blanken, P. D., Bohrer, G., Bracho, R., Brown, S., Brunsell, N. A., Chen, J., Chen, X., Clark, K., Desai, A. R., Duman, T., Durden, D., Fares, S., Forbrich, I., Gamon, J. A., Gough, C. M., Griffis, T., Helbig, M., Hollinger, D., Humphreys, E., Ikawa, H., Iwata, H., Ju, Y., Knowles, J. F., Knox, S. H., Kobayashi, H., Kolb, T., Law, B., Lee, X., Litvak, M., Liu, H., Munger, J. W., Noormets, A., Novick, K., Oberbauer, S. F., Oechel, W., Oikawa, P., Papuga, S. A., Pendall, E., Prajapati, P., Prueger, J., Quinton, W. L., Richardson, A. D., Russell, E. S., Scott, R. L., Starr, G., Staebler, R., Stoy, P. C., Stuart-Haëntjens, E., Sonnentag, O., Sullivan, R. C., Suyker, A., Ueyama, M., Vargas, R., Wood, J. D., and Zona, D.: Representativeness of Eddy-Covariance flux footprints for areas surrounding AmeriFlux sites, Agricultural and Forest Meteorology, 301–302, https://doi.org/10.1016/j.agrformet.2021.108350, 2021. a

Cowan, N., Levy, P., Tigli, M., Toteva, G., and Drewer, J.: Characterisation of Analytical Uncertainty in Chamber Soil Flux Measurements, European Journal of Soil Science, 76, e70104, https://doi.org/10.1111/ejss.70104, 2025. a

Egli, M., Wiesenberg, G., Leifeld, J., Gärtner, H., Seibert, J., Röösli, C., Wingate, V., Dollenmeier, W., Griffel, P., Suremann, J., Weber, J., Zyberaj, M., and Musso, A.: Formation and decay of peat bogs in the vegetable belt of Switzerland, Swiss Journal of Geosciences, 114, https://doi.org/10.1186/s00015-020-00376-0, 2021. a

Emmenegger, L., Leuenberger, M., and Steinbacher, M.: ICOS ATC NRT CO2 growing time series, Jungfraujoch (13.9 m), 2024-04-01–2025-01-20, ICOS RI, https://hdl.handle.net/11676/7vqXXFRCjhXpLOOMriAcxkzL, 2025. a

Eugster, W. and Merbold, L.: Eddy covariance for quantifying trace gas fluxes from soils, SOIL, 1, 187–205, https://doi.org/10.5194/soil-1-187-2015, 2015. a, b

Ferré, M., Muller, A., Leifeld, J., Bader, C., Müller, M., Engel, S., and Wichmann, S.: Sustainable management of cultivated peatlands in Switzerland: Insights, challenges, and opportunities, Land Use Policy, 87, https://doi.org/10.1016/j.landusepol.2019.05.038, 2019. a

Forbes, E., Benenati, V., Frey, S., Hirsch, M., Koech, G., Lewin, G., Mantas, J. N., and Caylor, K.: Fluxbots: A Method for Building, Deploying, Collecting and Analyzing Data From an Array of Inexpensive, Autonomous Soil Carbon Flux Chambers, Journal of Geophysical Research: Biogeosciences, 128, https://doi.org/10.1029/2023JG007451, 2023. a, b, c

Gagnon, S., L'Hérault, E., Lemay, M., and Allard, M.: New low-cost automated system of closed chambers to measure greenhouse gas emissions from the tundra, Agricultural and Forest Meteorology, 228–229, 29–41, https://doi.org/10.1016/j.agrformet.2016.06.012, 2016. a, b, c, d, e

Görres, C.-M., Kammann, C., and Ceulemans, R.: Automation of soil flux chamber measurements: potentials and pitfalls, Biogeosciences, 13, 1949–1966, https://doi.org/10.5194/bg-13-1949-2016, 2016. a

Healy, R. W., Striegl, R. G., Russell, T. F., Hutchinson, G. L., and Livingston, G. P.: Numerical Evaluation of Static-Chamber Measurements of Soil-Atmosphere Gas Exchange: Identification of Physical Processes, Tech. rep., Soil Science Society of America Journal, 60, https://doi.org/10.2136/sssaj1996.03615995006000030009x, 1996. a

Hüppi, R., Felber, R., Krauss, M., Six, J., Leifeld, J., and Fuß, R.: Restricting the nonlinearity parameter in soil greenhouse gas flux calculation for more reliable flux estimates, PLoS ONE, 13, https://doi.org/10.1371/journal.pone.0200876, 2018. a

IPCC: Intergovernmental panel on climate change (IPCC) guidelines for national greenhouse gas inventories, Volume 4. Agriculture, forestry and other land uses, Tech. rep., https://www.ipcc-nggip.iges.or.jp/public/2006gl (last access: 10 November 2025), 2006. a

IPCC: 2019 Refinement to the 2006 IPCC Guidelines for National Greenhouse Gas Inventories, Volume 4. Agriculture, forestry and other land uses, Tech. rep., https://www.ipcc.ch/report/2019-refinement-to-the-2006-ipcc-guidelines-for-national-greenhouse-gas-inventories/ (last access: 10 November 2025), 2019. a

IPCC: Summary for policymakers, in: Climate change 2021: The physical science basis, Contribution of Working Group I to the Sixth Assessment Report of the Intergovernmental Panel on Climate Change, Tech. rep., https://doi.org/10.1017/9781009157896.001, 2021. a

Jenerette, G. D., Scott, R. L., and Huxman, T. E.: Whole ecosystem metabolic pulses following precipitation events, Functional Ecology, 22, 924–930, https://doi.org/10.1111/j.1365-2435.2008.01450.x, 2008. a

Johannesson, C.-F., Nordén, J., Lange, H., Silvennoinen, H., and Larsen, K.: Optimizing the closure period for improved accuracy of chamber-based greenhouse gas flux estimates, Agricultural and Forest Meteorology, 359, 110289, https://doi.org/10.1016/j.agrformet.2024.110289, 2024. a

Kobayashi, A. N. A.: alexnaoki/SoilGasFlux: v.0.2.0 Parametric low-cost soil gas flux system, Zenodo [code], https://doi.org/10.5281/zenodo.17341515, 2025. a, b, c

Lai, D. Y. F., Roulet, N. T., Humphreys, E. R., Moore, T. R., and Dalva, M.: The effect of atmospheric turbulence and chamber deployment period on autochamber CO2 and CH4 flux measurements in an ombrotrophic peatland, Biogeosciences, 9, 3305–3322, https://doi.org/10.5194/bg-9-3305-2012, 2012. a

Leon, E., Vargas, R., Bullock, S., Lopez, E., Panosso, A. R., and La Scala, N.: Hot spots, hot moments, and spatio-temporal controls on soil CO2 efflux in a water-limited ecosystem, Soil Biology and Biochemistry, 77, 12–21, https://doi.org/10.1016/j.soilbio.2014.05.029, 2014. a

Macagga, R., Asante, M., Sossa, G., Antonijević, D., Dubbert, M., and Hoffmann, M.: Validation and field application of a low-cost device to measure CO2 and evapotranspiration (ET) fluxes, Atmos. Meas. Tech., 17, 1317–1332, https://doi.org/10.5194/amt-17-1317-2024, 2024. a, b, c, d

Maier, M., Weber, T. K., Fiedler, J., Fuß, R., Glatzel, S., Huth, V., Jordan, S., Jurasinski, G., Kutzbach, L., Schäfer, K., Weymann, D., and Hagemann, U.: Introduction of a guideline for measurements of greenhouse gas fluxes from soils using non-steady-state chambers, Journal of Plant Nutrition and Soil Science, 185, 447–461, https://doi.org/10.1002/jpln.202200199, 2022. a, b, c, d

Nickerson, N.: Evaluating Gas Emission Measurements Using Minimum Detectable Flux (MDF), Tech. rep., https://doi.org/10.13140/RG.2.1.4149.2089, 2016. a

Oertel, C., Matschullat, J., Zurba, K., Zimmermann, F., and Erasmi, S.: Greenhouse gas emissions from soils – A review, Geochemistry, 76, https://doi.org/10.1016/j.chemer.2016.04.002, 2016. a

Pedersen, A. R., Petersen, S. O., and Schelde, K.: A comprehensive approach to soil-atmosphere trace-gas flux estimation with static chambers, European Journal of Soil Science, 61, 888–902, https://doi.org/10.1111/j.1365-2389.2010.01291.x, 2010. a

Roeoesli, C. and Egli, M.: Using historical data to access the surface subsidence in the vegetable belt of the Three Lakes Region, Switzerland, Swiss Journal of Geosciences, 117, https://doi.org/10.1186/s00015-024-00452-9, 2024. a

Schneider, J., Kutzbach, L., Schulz, S., and Wilmldng, M.: Overestimation of CO2 respiration fluxes by the closed chamber method in low-turbulence nighttime conditions, Journal of Geophysical Research: Biogeosciences, 114, https://doi.org/10.1029/2008JG000909, 2009. a

Smith, K. A., Ball, T., Conen, F., Dobbie, K. E., Massheder, J., and Rey, A.: Exchange of greenhouse gases between soil and atmosphere: interactions of soil physical factors and biological processes, European Journal of Soil Science, 69, 10–20, https://doi.org/10.1111/ejss.12539, 2018. a

Venterea, R. T. and Baker, J. M.: Effects of Soil Physical Nonuniformity on Chamber‐Based Gas Flux Estimates, Soil Science Society of America Journal, 72, 1410–1417, https://doi.org/10.2136/sssaj2008.0019, 2008. a

Venterea, R. T., Petersen, S. O., De Klein, C. A. M., Pedersen, A. R., Noble, A. D. L., Rees, R. M., Gamble, J. D., and Parkin, T. B.: Global Research Alliance N2O Chamber Methodology Guidelines: Flux Calculations, Journal of Environmental Quality, 49, 1141–1155, https://doi.org/10.1002/jeq2.20118, 2020.  a

Zawilski, B. M. and Bustillo, V.: Ultra-low-cost manual soil respiration chamber, Geosci. Instrum. Method. Data Syst., 13, 51–62, https://doi.org/10.5194/gi-13-51-2024, 2024. a, b

Download
Short summary
The increasing impact of climate change and human activities on greenhouse gas emissions highlights the need for effective monitoring, especially from the soil. Our design introduces a low-cost solution for measuring soil gas flux that is adaptable to various environments. Additionally, we propose a novel method for ensuring data quality before deploying these systems in the field.
Share